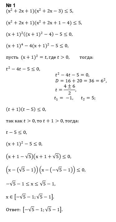
(x^2 + 2x + 1)(x^2 + 2x - 3) ≤ 5
5^(x+1) + 3 * 5^(-x) ≤ 16
[blue]Замена переменной[/blue]
x^2+2x-3=t
x^2+2x+1=t+4
t*(t+4) ≤ 5
t^2+4t-5 ≤ 0
D=16+20=36
t_(1)=-5; t_(2)=1
___ [-5] __[green]-[/green]___ [1] ____
-5 ≤ t ≤ 1
-5 ≤ x^2+2x-3 ≤ 1
{x^2+2x-3 ≤ 1
{x^2+2x-3 ≥ -5
{x^2+2x-4≤ 0 ⇒ D=20 ⇒ -1 - sqrt(5) ≤ x ≤ -1 + sqrt(5)
{x^2+2x+2 ≥ 0 ⇒ D=4-4*2<0 неравенство верно при любом х
О т в е т. [ -1 - sqrt(5) ;-1 + sqrt(5)]
2.
5^(x+1)=5^(x)*5
[blue]Замена переменной[/blue]
5^(x)=t
t >0
5^(-x)=1/t
5t +([b]3[/b]/t) ≤ 16
Умножаем на t ≥ 0
5t^2-16t+[b]3[/b] ≤ 0
D=(-16)^2-4*5*3=256-60=196
t_(1)=(16-14)/10=1/5; t_(2)=(16+14)/10=3
Решение неравенства:
(1/5) ≤ 5^(x) ≤ 3
5^(-1) ≤ 5^(x) ≤ log_(5)3
О т в е т. [1/5; log_(5)3]
