Задать свой вопрос   *более 50 000 пользователей получили ответ на «Решим всё»

Задача 50005 Решите уравнение sqrt(x+5)=0,5x+1...

Условие

Решите уравнение
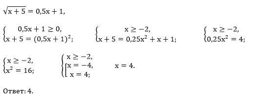
sqrt(x+5)=0,5x+1

математика 10-11 класс 2490

Все решения

Возводим в квадрат:

x+5=(0,5x+1)^2

x+5=(0,5x)^2+2*0,5*x+1

0,25x^2=4

x^2=16

x= ± 4

Проверка

x=4

sqrt(4+5)=0,5*4+1 - верно, 3=3

х=-4

sqrt(-4+5)=0,5*(-4)+1 -неверно, 1 ≠ -1

О т в е т. -4


При возведении в квадрат могли приобрети посторонние корни.
поэтому либо находим ОДЗ, либо делаем проверку.

Написать комментарий

Меню

Присоединяйся в ВК