Задать свой вопрос
*более 50 000 пользователей получили ответ на «Решим всё»
Задача 49993
...
Условие
apricot
2020-05-13 11:01:21
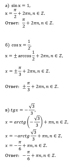
1. a) sin x = 1; б) cos x = 1/2; в) tg x = -√3/3.
математика 10-11 класс
620
Решение
u821511235
2020-05-13 11:15:00
★
Написать комментарий
Меню
Решим всё
Найти задачу
Категории
Статьи
Тесты
Архив задач
Присоединяйся в ВК