Задать свой вопрос
*более 50 000 пользователей получили ответ на «Решим всё»
Задача 49987
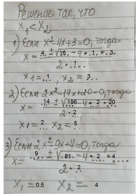
Задание на картинке...
Условие
kurikoer
2020-05-13 10:39:17
Задание на картинке
математика 8-9 класс
605
Решение
u821511235
2020-05-13 11:06:17
★
Написать комментарий
Меню
Решим всё
Найти задачу
Категории
Статьи
Тесты
Архив задач
Присоединяйся в ВК