Задать свой вопрос   *более 50 000 пользователей получили ответ на «Решим всё»

Задача 49967 7.Дан вектор а (3,-2,1/3) –...

Условие




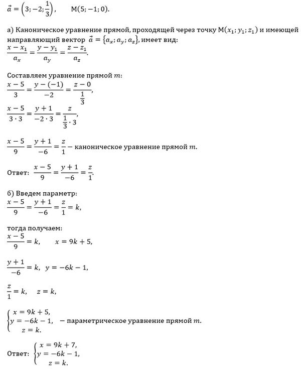
7.Дан вектор а (3,-2,1/3) – направляющий вектор прямой m, точка M(5;-1;0) принадлежит прямой m. А) Напишите каноническое уравнение прямой m. Б) Напишите параметрическое уравнение прямой m.

начерт 10-11 класс 3760

Решение

Написать комментарий

Меню

Присоединяйся в ВК