Задать свой вопрос   *более 50 000 пользователей получили ответ на «Решим всё»

Задача 49948 Ребят, решите срочно системы 11...

Условие

Ребят, решите срочно системы 11 класс.
Даю 100 баллов.
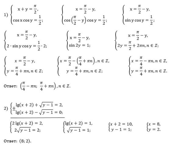
1) Система: x+y=п/2
cosx cosy = 1/2
2) Система: lg(x+2)+кореньy-1=2
lg(x+2)-кореньy-1=0
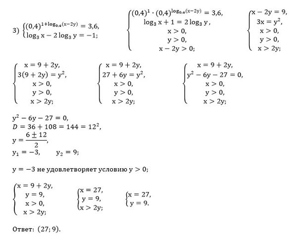
3) Система: (0,4)^1+log0,4^(x-2y)=3,6
log3x-2log3y=-1

математика 10-11 класс 1866

Решение

Написать комментарий

Меню

Присоединяйся в ВК