Задать свой вопрос   *более 50 000 пользователей получили ответ на «Решим всё»

Задача 49898 ...

Условие

Найти неопределённый интеграл

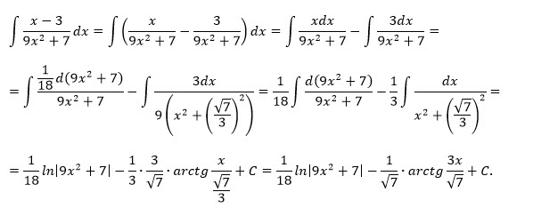
1.13. ∫ (x - 3) / (9x² + 7) dx

математика 10-11 класс 804

Решение

Все решения

[m]\int\frac{x-3}{9\cdot (x^2+\frac{7}{9})}dx=\frac{1}{9}\cdot (\int\frac{x}{x^2+\frac{7}{9}}dx-\int\frac{3}{x^2+\frac{7}{9}}dx)=[/m]

формулы:[r] [m]\int\frac{du}{u}=ln|u|+C; \int\frac{dx}{x^2+a^2}=\frac{1}{a}arctg\frac{x}{a}+C[/m]; [/r]

[m]a^2=\frac{7}{9}[/m]

[m]=\frac{1}{9\cdot 2}\cdot\int\frac{2x}{x^2+\frac{7}{9}}dx-\frac{1}{9}\cdot 3\cdot \frac{1}{\sqrt{\frac{7}{9}}} arctg \frac{x}{\sqrt{\frac{7}{9}}}+C=[/m]

[m]=\frac{1}{18}\cdot ln |x^2+\frac{7}{9}|-\frac{1}{\sqrt{7}}arctg \frac{3x}{\sqrt{7}}+C[/m]

Написать комментарий

Меню

Присоединяйся в ВК