Задать свой вопрос   *более 50 000 пользователей получили ответ на «Решим всё»

Задача 49896 ...

Условие

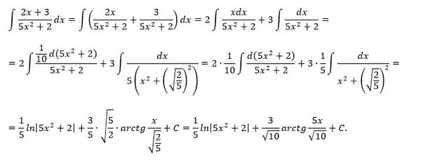
Найти неопределённый интеграл

14.13. ∫ (2x + 3) / (5x² + 2) dx.

математика 10-11 класс 723

Решение

Все решения

[m]\int\frac{2x+3}{5\cdot (x^2+\frac{2}{5})}dx=\frac{1}{5}\cdot (\int\frac{2x}{x^2+\frac{2}{5}}dx+\int\frac{3}{x^2+\frac{2}{5}}dx)=[/m]

формулы:[r] [m]\int\frac{du}{u}=ln|u|+C; \int\frac{dx}{x^2+a^2}=\frac{1}{a}arctg\frac{x}{a}+C[/m]; [/r]

[m]a^2=\frac{2}{5}[/m]

[m]=\frac{1}{5}\cdot ln |x^2+\frac{2}{5}|+\frac{1}{5}\cdot 3\cdot \frac{1}{\sqrt{\frac{2}{5}}} arctg \frac{x}{\sqrt{\frac{2}{5}}}+C=[/m]

[m]=\frac{1}{5}\cdot ln |x^2+\frac{2}{5}|+\frac{3\sqrt{5}}{5\sqrt{2}}arctg \frac{x\sqrt{5}}{\sqrt{2}}+C[/m]

Написать комментарий

Меню

Присоединяйся в ВК