Задать свой вопрос
*более 50 000 пользователей получили ответ на «Решим всё»
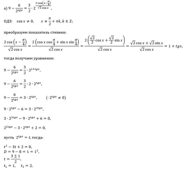
Задача 49895
СРОЧНО 13 ЗАДАНИЕ МАТЕМАТИКА ПРОФИЛЬ...
Условие
tunerokkkk
2020-05-12 15:13:21
СРОЧНО 13 ЗАДАНИЕ МАТЕМАТИКА ПРОФИЛЬ
математика 10-11 класс
626
Все решения
u821511235
2020-05-12 15:56:05
Написать комментарий
Меню
Решим всё
Найти задачу
Категории
Статьи
Тесты
Архив задач
Присоединяйся в ВК