Задать свой вопрос
*более 50 000 пользователей получили ответ на «Решим всё»
Задача 49889
...
Условие
vk557167629
2020-05-12 14:54:15
Найти неопределённый интеграл
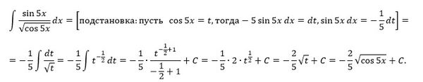
10.13. ∫ (sin 5x / √cos 5x) dx.
математика 10-11 класс
568
Все решения
u821511235
2020-05-12 15:11:23
Написать комментарий
Меню
Решим всё
Найти задачу
Категории
Статьи
Тесты
Архив задач
Присоединяйся в ВК