Задать свой вопрос
*более 50 000 пользователей получили ответ на «Решим всё»
Задача 49860
...
Условие
616541
2020-05-12 12:57:51
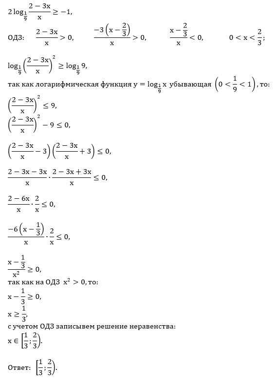
Решите пожалуйста неравенства
2log1/9 (2-3x)/x≥-1
предмет не задан
734
Все решения
u821511235
2020-05-12 17:19:10
Написать комментарий
Меню
Решим всё
Найти задачу
Категории
Статьи
Тесты
Архив задач
Присоединяйся в ВК