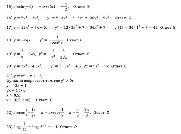
16. Вычислить производную функции: y = 5x⁴-3x³
17. Вычислить производную функции y = 12x³ + 7x - 5 и найти значение выражения y’(1)
18. Вычислить производную функции y = - tgx
19. Вычислите производную для y = 3/x - 3√x
20. Вычислите производную: y = 3x³ - 4,5x²
21. Найти промежутки возрастания функции: y = -x² - x + 12
22. Вычислить arccos( -1/2 )
23. Вычислить:
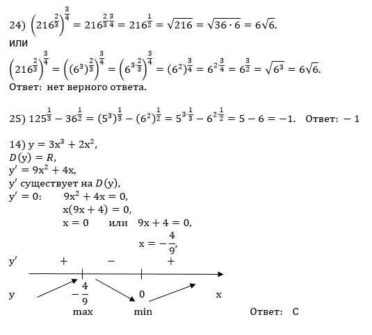
24. Вычислить
25. Вычислить: ...
14. Найти экстремумы для y = 3x³ + 2x²
