Задать свой вопрос
*более 50 000 пользователей получили ответ на «Решим всё»
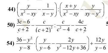
Задача 49800
Упростите выражение C решением...
Условие
vk585932140
2020-05-11 17:06:42
Упростите выражение
C решением нужно...
математика 8-9 класс
714
О решение...
На нашем сайте такое бывает редко, но решение к данной задаче еще никто не написал.
Что Вы можете сделать?
Выставите данный вопрос вновь. Перейдите на
главную страницу
.
Найдите похожую задачу. Используйте
поиск
.
Написать комментарий
Меню
Решим всё
Найти задачу
Категории
Статьи
Тесты
Архив задач
Присоединяйся в ВК