В сосуде, имеющем форму конуса, уровень жидкости достигает 1/5 высоты. Объём жидкости равен 10 мл. Сколько миллилитров
жидкости нужно долить, чтобы полностью наполнить сосуд?
математика 10-11 класс
36937
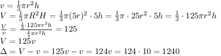
Объем конуса равен Pi*R^2*h*(1/3) а занятый объем Pi*R^2*h*(1/5)*(1/3)*(1/25). Разделим первый на второй и найдем во сколько раз отличаются объемы. Получаем 125.
значит всего 1250 миллилитров, а заполнено 10, значит необходимо долить 1240 мл.
Вычисления:
Ответ: 1240
Вопросы к решению (4)
исправил, прошу посмотреть правильное решение
Меньший конус подобен большему с коэффициентом 1/5. Объемы подобных тел относятся как куб коэффициента подобия. (15)^3 = (1125) , то есть объем в 125 раз больше.
формула объема конуса равна 1/3π·R^2·h.ваше решение не может быть правильным.
не путай меня
на решение не влияет