Задать свой вопрос   *более 50 000 пользователей получили ответ на «Решим всё»

Задача 49780 ПОМОГИТЕ С ПОДРОБНЫМ РЕШЕНИЕМ Дан вектор...

Условие

ПОМОГИТЕ С ПОДРОБНЫМ РЕШЕНИЕМ
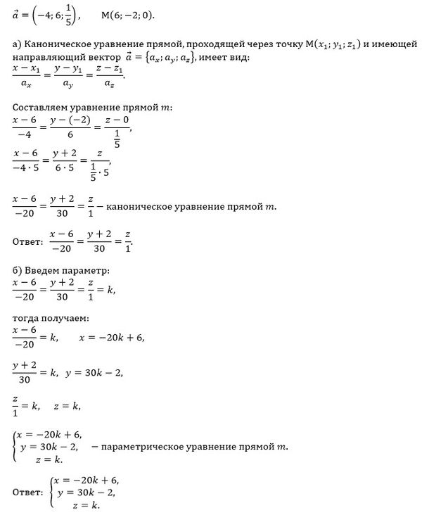
Дан вектор а(-4,6,1/5)– направляющий вектор m,точка M(6,–2,0) принадлежит прямой m.
A) напишите каноническое уравнение прямой m.
Б) напишите параметрическое уравнение прямой m

начерт 10-11 класс 1058

Решение

Написать комментарий

Меню

Присоединяйся в ВК