Задать свой вопрос
*более 50 000 пользователей получили ответ на «Решим всё»
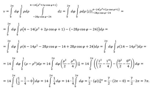
Задача 49777
(Тройной интеграл) Расписать как...
Условие
snowball
2020-05-11 12:00:17
(Тройной интеграл) Расписать как получилось
математика ВУЗ
1051
Решение
u821511235
2020-05-11 13:33:30
★
Написать комментарий
Меню
Решим всё
Найти задачу
Категории
Статьи
Тесты
Архив задач
Присоединяйся в ВК