Задать свой вопрос
*более 50 000 пользователей получили ответ на «Решим всё»
Задача 49767
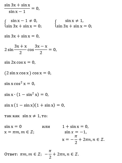
Решить уравнение (sin3x+sinx)/(sinx-1)=0...
Условие
a_luda_i
2020-05-11 09:19:46
Решить уравнение
(sin3x+sinx)/(sinx-1)=0
математика 10-11 класс
1692
Решение
u821511235
2020-05-11 15:23:15
★
Написать комментарий
Меню
Решим всё
Найти задачу
Категории
Статьи
Тесты
Архив задач
Присоединяйся в ВК