Задать свой вопрос
*более 50 000 пользователей получили ответ на «Решим всё»
Задача 49766
Решить методом подстановки систему...
Условие
vk542990943
2020-05-11 08:24:33
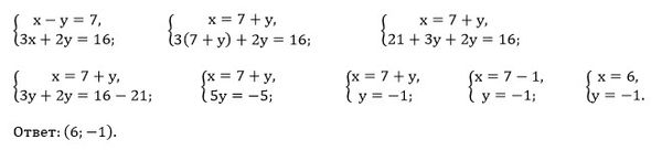
Решить методом подстановки систему линейных уравнений
{
x - y = 7;
3x + 2y = 16.
}
математика 6-7 класс
631
Все решения
u821511235
2020-05-11 08:31:17
Написать комментарий
Меню
Решим всё
Найти задачу
Категории
Статьи
Тесты
Архив задач
Присоединяйся в ВК