Задать свой вопрос   *более 50 000 пользователей получили ответ на «Решим всё»

Задача 49746 ...

Условие

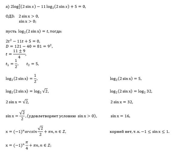
a) Решите уравнение 2log₂²(2 sin x) - 11log₂(2 sin x) + 5 = 0.

б) Укажите корни этого уравнения, принадлежащие отрезку [3π/2, 3π].

математика 10-11 класс 890

Все решения

Написать комментарий

Категория

Меню

Присоединяйся в ВК