Задать свой вопрос   *более 50 000 пользователей получили ответ на «Решим всё»

Задача 49729 1. Вычислите: 1) [m]\frac{1}{2}[/m]...

Условие

1. Вычислите:

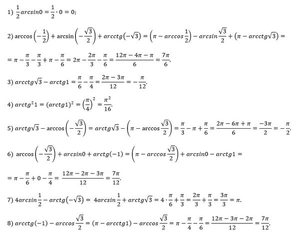
1) [m]\frac{1}{2}[/m] arcsin 0

2) arccos [m]\left(-\frac{1}{2}\right)[/m] + arcsin [m]\left(-\frac{\sqrt{3}}{2}\right)[/m] + arctg (-[m]\sqrt{3}[/m])

3) arctg [m]\sqrt{3}[/m] - arctg 1

4) arctg[m]^2[/m] 1

5) arctg [m]\sqrt{3}[/m] - arccos [m]\left(-\frac{\sqrt{3}}{2}\right)[/m]

6) arccos [m]\left(-\frac{\sqrt{3}}{2}\right)[/m] + arcsin 0 + arctg (-1)

7) 4 arcsin [m]\frac{1}{2}[/m] - arctg (-[m]\sqrt{3}[/m])

8) arctg (-1) - arccos [m]\frac{\sqrt{3}}{2}[/m]

9) arccos [m]\left(-\frac{1}{2}\right)[/m] - arcsin [m]\frac{\sqrt{3}}{2}[/m]

10) arctg[m]^2[/m] [m]\sqrt{3}[/m] - arctg [m]\frac{1}{\sqrt{3}}[/m]

математика 1-5 класс 610

Все решения

Написать комментарий

Меню

Присоединяйся в ВК