Задать свой вопрос   *более 50 000 пользователей получили ответ на «Решим всё»

Задача 49674 ...

Условие

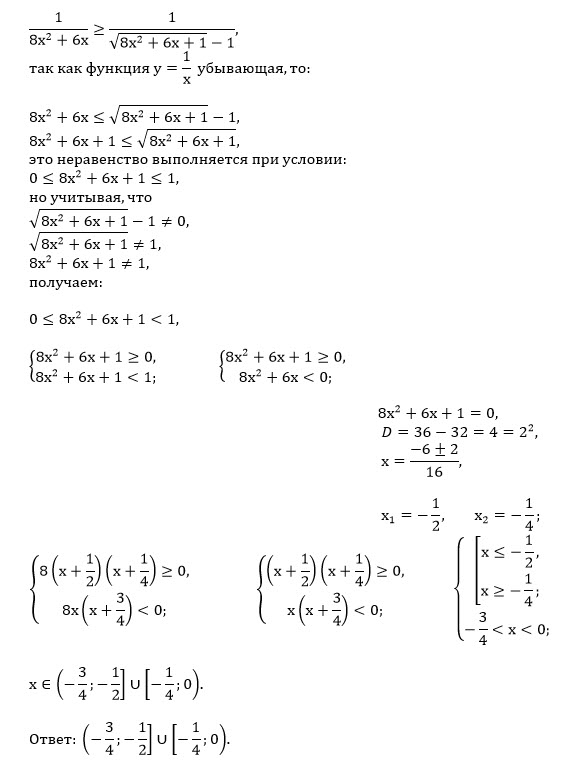
Решите иррациональное неравенство

1 / (8x^2 + 6x) ≥ 1 / (sqrt(8x^2 + 6x + 1) - 1)

математика 10-11 класс 1503

Решение

Все решения

[i]Замена переменной:[/i]

sqrt(8x^2+6x+1)=t , [red]t ≥ 0[/red]

Возводим в квадрат:

8x^2+6x+1=t^2 ⇒ 8x^2+6x=t^2-1

Неравенство принимает вид:

[m]\frac{1}{t^2-1} ≥ \frac{1}{t-1}[/m]

[m]\frac{1}{t^2-1} - \frac{1}{t-1} ≥ 0[/m]

[m]\frac{1-t-1}{t^2-1} ≥ 0[/m]

[m]\frac{t}{t^2-1} ≤ 0[/m]

c учётом[red] t ≥ 0[/red]

[0] __-__ (1) __+_

[b] 0 ≤ t <1[/b]

Обратный переход:

0 ≤ sqrt(8x^2+6x+1) < 1

0 ≤ sqrt(8x^2+6x+1) < 1 ⇒ 0 ≤ 8x^2+6x+1 <1

Двойное неравенство равносильно системе неравенств:

[m]\left\{\begin{matrix} 8x^2+6x+1 <1\\ 8x^2+6x+1 \geq 0 \end{matrix}\right.\left\{\begin{matrix} 8x^2+6x <0\\ 8x^2+6x+1 \geq 0 \end{matrix}\right.\left\{\begin{matrix} 2x\cdot (4x+3) <0\\ (2x+1)(4x+1) \geq 0 \end{matrix}\right.[/m]

Решаем каждое методом интервалов:

____ (-[m]\frac{3}{4}[/m]) _________[green]-[/green]________ (0) ___

О т в е т первого неравенства системы:( -[m]\frac{3}{4}[/m];0)

_____[red]+[/red]____ [-[m]\frac{1}{2}[/m]] ____ [-[m]\frac{1}{4}[/m]] __[red]+[/red]__

О т в е т второго неравенства системы:( - ∞ ;-[m]\frac{1}{2}[/m]]U[-[m]\frac{1}{4}[/m]+ ∞ )

Пересечение ответов первого и второго неравенства:
(-[m]\frac{3}{4}[/m]; -[m]\frac{1}{2}[/m]] U [-[m]\frac{1}{4}[/m];0)


О т в е т. (-[m]\frac{3}{4}[/m]; -[m]\frac{1}{2}[/m]] U [-[m]\frac{1}{4}[/m];0)

Написать комментарий

Меню

Присоединяйся в ВК