Задать свой вопрос
*более 50 000 пользователей получили ответ на «Решим всё»
Задача 49645
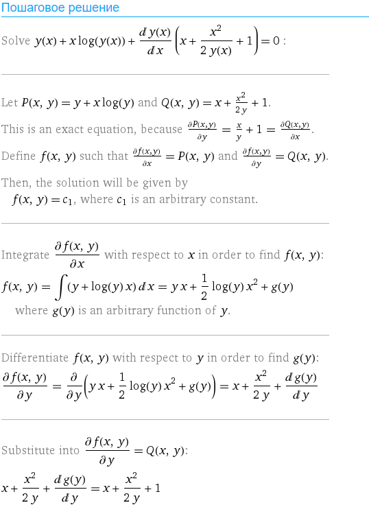
(y+xlny)dx+(x^2/2y+x+1)dy=0 ...
Условие
filoman
2020-05-08 14:41:17
(y+xlny)dx+(x^2/2y+x+1)dy=0
Дифференциальное уравнение пж
математика ВУЗ
1282
Все решения
jano44ka
2020-05-08 15:35:32
Написать комментарий
Меню
Решим всё
Найти задачу
Категории
Статьи
Тесты
Архив задач
Присоединяйся в ВК