Задать свой вопрос   *более 50 000 пользователей получили ответ на «Решим всё»

Задача 49639 Уравнение (1/4*4^(х))^(х)=2^(2х+6)...

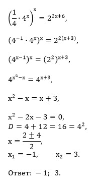
Условие

Уравнение
(1/4*4^(х))^(х)=2^(2х+6)

математика 10-11 класс 3480

Решение

Все решения

1/4=2^(-2)
4=2^2
4^(x)=(2^(2))^(x)=2^(2x)

(1/4)*4^(x)=2^(-2)*2^(2x)=2^(2x-2)

(2^(2x-2))^(x)=2^(2x+6)

2^((2x-2)*x)=2^(2x+6)

(2x-2)*x=2x+6

Написать комментарий

Меню

Присоединяйся в ВК