Задать свой вопрос
*более 50 000 пользователей получили ответ на «Решим всё»
Задача 49629
...
Условие
vk557167629
2020-05-08 12:11:27
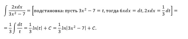
Найти непредельный интеграл
6.13. ∫(2xdx / (3x^2 - 7))
математика 10-11 класс
612
Решение
u821511235
2020-05-09 21:49:20
★
Написать комментарий
Меню
Решим всё
Найти задачу
Категории
Статьи
Тесты
Архив задач
Присоединяйся в ВК