Задать свой вопрос
*более 50 000 пользователей получили ответ на «Решим всё»
Задача 49627
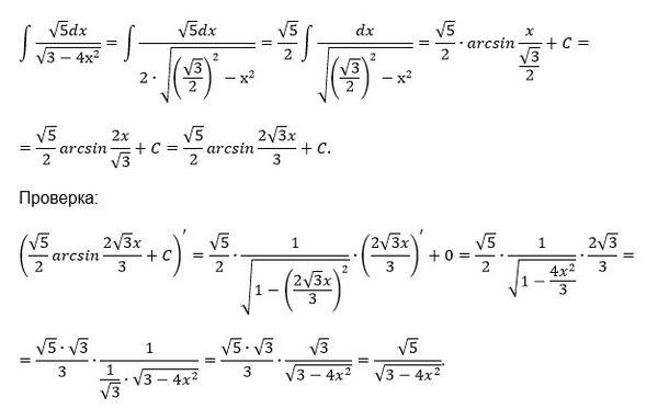
Найти неопределённый интеграл, результат...
Условие
vk557167629
2020-05-08 12:07:02
Найти неопределённый интеграл, результат проверить дифференцированием
математика 10-11 класс
680
Решение
u821511235
2020-05-09 22:06:39
★
Написать комментарий
Меню
Решим всё
Найти задачу
Категории
Статьи
Тесты
Архив задач
Присоединяйся в ВК