Задать свой вопрос
*более 50 000 пользователей получили ответ на «Решим всё»
Задача 49610
...
Условие
biter
2020-05-08 09:34:14
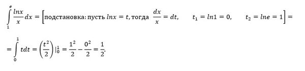
вычислить определенный интеграл
∫₁ᵉ (ln x) / x dx.
математика
536
Решение
u821511235
2020-05-08 10:02:47
★
Написать комментарий
Меню
Решим всё
Найти задачу
Категории
Статьи
Тесты
Архив задач
Присоединяйся в ВК