Задать свой вопрос   *более 50 000 пользователей получили ответ на «Решим всё»

Задача 49604 ...

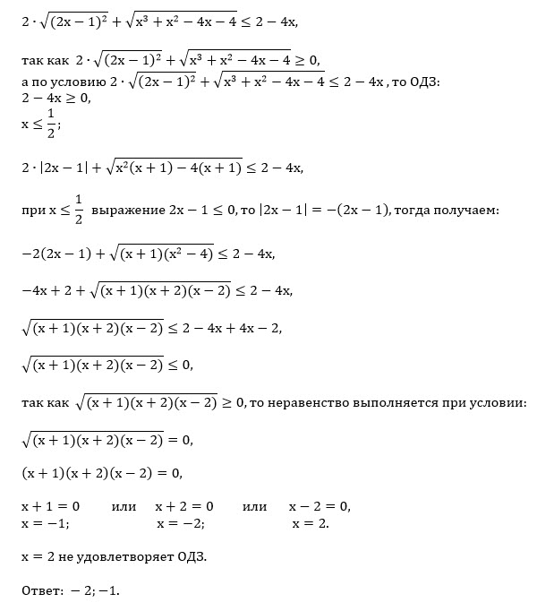
Условие

Решите неравенство 2·sqrt((2x−1)^2) + sqrt(x^3 + x^2−4x−4) ≤ 2−4x.

математика 10-11 класс 777

Решение

Все решения

ОДЗ:
x^3+x^2-4x-4 ≥ 0 ⇒ x^2*(x+1)-4*(x+1) ≥ 0 ⇒ (x+1)*(x^2-4) ≥ 0

__-__ [-2] __+___ [-1] _____-___________[2] __+___

[red]x ∈ [-2;-1]U[2;+ ∞ )[/red]

Перепишем неравенство в виде:

2*sqrt((2x-1)^2)+4x-2 +sqrt((x+1)(x-2)(x+2)) ≤ 0

Так как sqrt(x^2)=|x|, то
2*|2x-1|+2*(2x-1) +sqrt((x+1)(x-2)(x+2)) ≤ 0



Пусть x ∈[red] [-2;-1][/red], тогда |2x-1|=-(2x-1)

неравенство принимает вид:

2*(-2(x-1)+2*(x-1)+sqrt((x+1)(x-2)(x+2)) ≤ 0 ⇒ sqrt((x+1)(x-2)(x+2)) ≤ 0

По определению арифметического квадратного корня он принимает только неотрицательные значения, поэтому возможно лишь равенство
sqrt((x+1)(x-2)(x+2)) =0 ⇒[b] x=-2;x=-1;x=0[/b]

Пусть x ∈[red] [2;+ ∞ )[/red], тогда |2x-1|=2x-1

Но при x ≥ 2

2x-1 ≥ 2*2-1=3 >0

неравенство принимает вид

2*(2х-1)+2*(2x-1)+sqrt((x+1)(x+2)(x-2)) ≤ 0

4*(2х-1)[red]+[/red]sqrt((x+1)(x+2)(x-2)) ≤ 0 невозможно, так как

4*(2x-1) ≥ 12

sqrt((x+1)(x+2)(x-2)) ≥ 0


О т в е т. -2;-1;2



Написать комментарий

Категория

Меню

Присоединяйся в ВК