Задать свой вопрос
*более 50 000 пользователей получили ответ на «Решим всё»
Задача 49593
...
Условие
biter
2020-05-07 20:12:59
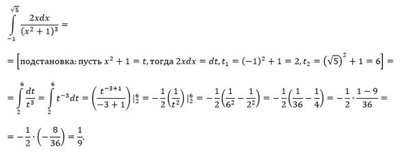
вычислить определенный интеграл
∫⁻₁⁵ (2xdx) / (x² + 1)³
математика
664
Решение
u821511235
2020-05-07 20:29:29
★
Написать комментарий
Меню
Решим всё
Найти задачу
Категории
Статьи
Тесты
Архив задач
Присоединяйся в ВК