Задать свой вопрос
*более 50 000 пользователей получили ответ на «Решим всё»
Задача 49543
...
Условие
ed13
2020-05-07 13:36:28
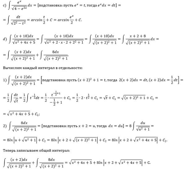
c) ∫(e^x / √(4 - e^(2x))) dx , d) ∫((x + 10) / √(x^2 + 4x + 5)) dx .
математика ВУЗ
550
Решение
u821511235
2020-05-07 19:14:26
★
Написать комментарий
Меню
Решим всё
Найти задачу
Категории
Статьи
Тесты
Архив задач
Присоединяйся в ВК