Задать свой вопрос   *более 50 000 пользователей получили ответ на «Решим всё»

Задача 49530 РЕбята,помогите пожалуйста 3 раз уже...

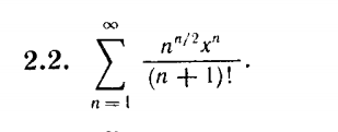
Условие

РЕбята,помогите пожалуйста 3 раз уже прошу!!НАДо очень пожалуйста помогите ))
Задание: [b]НАЙТИ ОБЛАСТЬ СХОДИМОСТИ РЯДА [/b]

математика ВУЗ 434

О решение...

На нашем сайте такое бывает редко, но решение к данной задаче еще никто не написал.

Что Вы можете сделать?

  1. Выставите данный вопрос вновь. Перейдите на главную страницу.
  2. Найдите похожую задачу. Используйте поиск.

Написать комментарий

Меню

Присоединяйся в ВК