Задать свой вопрос
*более 50 000 пользователей получили ответ на «Решим всё»
Задача 49522
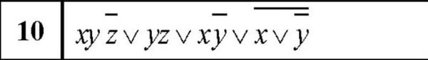
1. Написать таблицу булевой функции f...
Условие
kholmatov
2020-05-07 11:53:03
1. Написать таблицу булевой функции f (х, у, z), заданной формулой.
предмет не задан
646
О решение...
На нашем сайте такое бывает редко, но решение к данной задаче еще никто не написал.
Что Вы можете сделать?
Выставите данный вопрос вновь. Перейдите на
главную страницу
.
Найдите похожую задачу. Используйте
поиск
.
Написать комментарий
Меню
Решим всё
Найти задачу
Категории
Статьи
Тесты
Архив задач
Присоединяйся в ВК