Задать свой вопрос
*более 50 000 пользователей получили ответ на «Решим всё»
Задача 49474
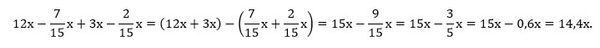
Выполните действия 12x-7/15x+3x-2/15x...
Условие
vk364745876
2020-05-06 16:37:15
Выполните действия 12x-7/15x+3x-2/15x
предмет не задан
1464
Все решения
u821511235
2020-05-06 20:02:22
jano44ka
2020-05-06 17:41:52
Написать комментарий
Меню
Решим всё
Найти задачу
Категории
Статьи
Тесты
Архив задач
Присоединяйся в ВК