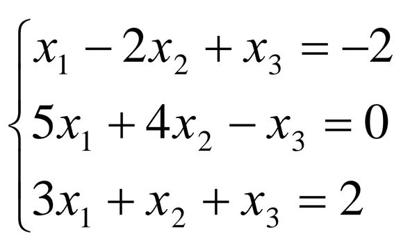
Требуется: 1) найти ее решение с помощью правила Крамера; 2) записать систему
в матричной форме и решить ее средствами матричного исчисления, при этом
правильность вычисления обратной матрицы проверить используя матричное
умножение; 3) решить методом Гаусса.
Задание 2: 1) найти общее решение и одно частное решение системы линейных уравнений; 2) для соответствующей однородной линейной системы найти фундаментальный набор решений; 3) Записать общее решение неоднородной системы уравнений как сумму общего решения однородной системы и частного решения неоднородной системы.




