Задать свой вопрос   *более 50 000 пользователей получили ответ на «Решим всё»

Задача 49448 ПОМОГИТЕ СРОЧНО Найти общее решение...

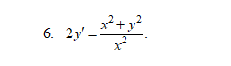
Условие

ПОМОГИТЕ СРОЧНО
Найти общее решение однородного дифференциального уравнения.

математика ВУЗ 772

Все решения

y/x=u ⇒ y=x*u ⇒ y`=x`*u+x*u`

так как x`=1, ( х - независимая переменная)

y`=u+xu`

Подставляем в уравнение:

2*(u+x*u`)=1+u

2*u+2x*u`=1+u

2x*u`=1-u

u`=du/dx

2xdu=(1-u)dx - уравнение с разделяющимися переменными

2du/(1-u)=dx/x


∫ 2du/(1-u)= ∫ dx/x

-2ln|1-u|=ln|x|+lnC

[b]Cx=1/(1-u^2) [/b] где u=(y/x)

Написать комментарий

Категория

Меню

Присоединяйся в ВК