Задать свой вопрос   *более 50 000 пользователей получили ответ на «Решим всё»

Задача 49416 ...

Условие

1.Решить уравнение: 2sin^(2)х – 1= cos х – 2cos^(2)х
2. Найти решение уравнения, удовлетворяющее условие cos x ≥0.

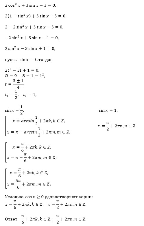
2 cos^(2) x + 3sin x – 3 = 0

математика 10-11 класс 632

Решение

Написать комментарий

Меню

Присоединяйся в ВК