Задать свой вопрос   *более 50 000 пользователей получили ответ на «Решим всё»

Задача 49376 ...

Условие

a) ∫[0 to ∞] sqrt(arctg2x) / (1 + 4x²) dx

b) ∫[1/3 to 1] dx / ^5sqrt(3 - 4x)

B) ∫[0 to 1] e^(x³ + 1) * x² dx

математика 562

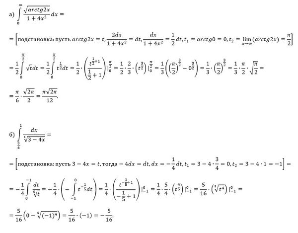
Решение

Написать комментарий

Меню

Присоединяйся в ВК