Задать свой вопрос   *более 50 000 пользователей получили ответ на «Решим всё»

Задача 49366 Помогите пожалуйста решить! Срочно...

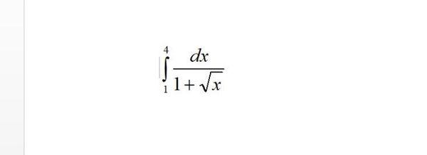
Условие

Помогите пожалуйста решить! Срочно

математика 541

Решение

Замена переменной:

sqrt(x)=t
x=t^2
dx=2tdt

Пределы:
x=1 ⇒ t=1
x=4 ⇒ t=2

= ∫ ^(2)_(1)[m]\frac{2t}{1+t}dt[/m]= неправильная дробь выделяем целую часть

=2∫ ^(2)_(1)[m]\frac{t+1-1}{1+t}dt[/m]=

=2*∫ ^(2)_(1)([m]1-\frac{1}{1+t})dt[/m]=

=[b]([/b]2t-2ln(1+t)[b])[/b]|^(2)_(1)=

=2*(2-1)-2ln3+2ln2=2+2ln(2/3)

Написать комментарий

Меню

Присоединяйся в ВК