Задать свой вопрос   *более 50 000 пользователей получили ответ на «Решим всё»

Задача 49363 Пожалуйста помогите решить ...

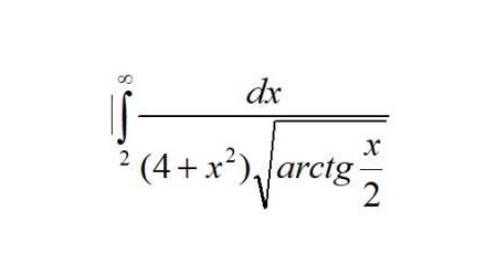
Условие

Пожалуйста помогите решить

математика 571

Решение

[m]d(arctg\frac{x}{2})=(arctg\frac{x}{2})`dx=\frac{1}{1+(\frac{x}{2})^2}\cdot (\frac{x}{2})`dx=\frac{4}{4+x^2}\cdot \frac{1}{2}dx=\frac{2}{4+x^2}dx[/m] ⇒

[m]\frac{1}{4+x^2}dx=\frac{1}{2}d(arctg\frac{x}{2})[/m]


∫ ^(+ ∞ )_(0)[m](arctg\frac{x}{2})^{-\frac{1}{2}})\cdot \frac{1}{2}d(arctg\frac{x}{2})=[/m]

[m]= \frac{1}{2}\cdot \frac{(arctg\frac{x}{2})^{-\frac{1}{2}+1}}{\frac{1}{2}}[/m]|^(+ ∞ )_(0)=

=sqrt((π/2))-0=sqrt((π/2))

Написать комментарий

Меню

Присоединяйся в ВК