Задать свой вопрос   *более 50 000 пользователей получили ответ на «Решим всё»

Задача 49357 Упростите выражение, пожалуйста Буду...

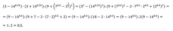
Условие

Упростите выражение, пожалуйста
Буду очень благодарна)
(3-14^(0,25))*(3+14^(0,25)):(9+(7^(0,5)-2^(1/2))^(2))

математика 10-11 класс 641

Решение

Написать комментарий

Меню

Присоединяйся в ВК