Задать свой вопрос
*более 50 000 пользователей получили ответ на «Решим всё»
Задача 49271
...
Условие
azattypc327
2020-05-05 08:07:25
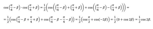
cos(π/4-β)∙cos(π/4+β)
β=1
математика
1056
Решение
u821511235
2020-05-05 15:19:16
★
Написать комментарий
Меню
Решим всё
Найти задачу
Категории
Статьи
Тесты
Архив задач
Присоединяйся в ВК