Задать свой вопрос   *более 50 000 пользователей получили ответ на «Решим всё»

Задача 49249 Помогите, пожалуйста, решить :...

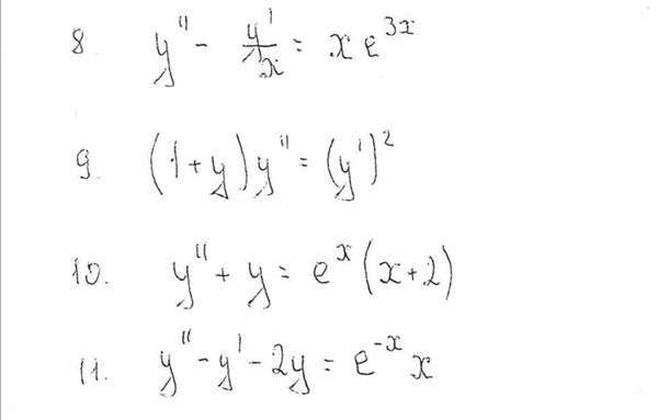
Условие

Помогите, пожалуйста, решить :

математика ВУЗ 449

О решение...

На нашем сайте такое бывает редко, но решение к данной задаче еще никто не написал.

Что Вы можете сделать?

  1. Выставите данный вопрос вновь. Перейдите на главную страницу.
  2. Найдите похожую задачу. Используйте поиск.

Написать комментарий

Меню

Присоединяйся в ВК