Задать свой вопрос   *более 50 000 пользователей получили ответ на «Решим всё»

Задача 49110 Определить площадь фигуры, ограниченную...

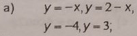
Условие

Определить площадь фигуры, ограниченную линиями
С помощью определенного интеграла

математика ВУЗ 566

Все решения

S= ∫ ^(3)_(-4)(2-y-(-y))dy=∫ ^(3)_(-4)(2)dy=2y|^(3)_(-4)=2*(3+4)=14

Написать комментарий

Меню

Присоединяйся в ВК