Задать свой вопрос
*более 50 000 пользователей получили ответ на «Решим всё»
Задача 49079
...
Условие
tkndsh123421
2020-05-01 19:08:22
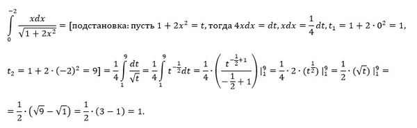
B) ∫ (from 0 to -2) xdx / √(1 + 2x^2)
математика ВУЗ
632
Решение
u821511235
2020-05-01 19:22:40
★
Написать комментарий
Меню
Решим всё
Найти задачу
Категории
Статьи
Тесты
Архив задач
Присоединяйся в ВК