Задать свой вопрос   *более 50 000 пользователей получили ответ на «Решим всё»

Задача 49078 ...

Условие

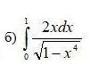
6) ∫ from 0 to 1 of (2x dx) / sqrt(1 - x^4)

математика ВУЗ 650

Решение

Все решения

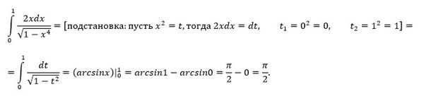
Пусть u=x^2
тогда du=2xdx

т.е d(x^2)=2xdx

∫ ^(1)_(0)d(x^2)/sqrt(1-(x^2)^2)=arcsinx^2|^(1)_(0)=arcsin1-arcsin0=π/2

Написать комментарий

Меню

Присоединяйся в ВК