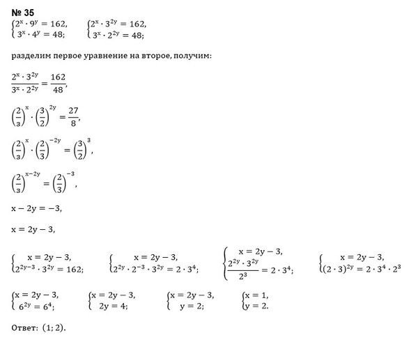
162=2*9^2
48=3*4^2
{2^(x)*9^(y)=2*9^2
{3^(x)*4^(y)=3*4^2
Решение системы
x=1; y=2 получено простым подбором.
Но такое решение НЕПОЛНОЕ.
Нужно доказать, что других корней нет
Это доказывается с помощью возрастания функции справа и убывания функции слева и ссылкой на соответствующую теорему.
{2^(x-1)=9^(-y+2)
{3^(x-1)=4^(-y+2)
Логарифмируем по основанию 10:
{lg(2^(x-1))=lg(9^(-y+2)
{lg(3^(x-1))=lg4^(-y+2)
Применяем свойства логарифма степени:
{(x-1)lg2=(-y+2)lg9
{(x-1)lg3=(-y+2)lg4
Далее способ подстановки:
{(x-1)=(-y+2)*(lg9/lg2)
{(-y+2)*(lg9/lg2)=(-y+2)lg4 ⇒ (-y+2)*(lg9/lg2)-(-y+2)lg4 =0 ⇒
(-y+2)*((lg9/lg2)-lg4)=0 ⇒ y=2 - ед решение, ⇒ x=1
О т в е т. (1;2)
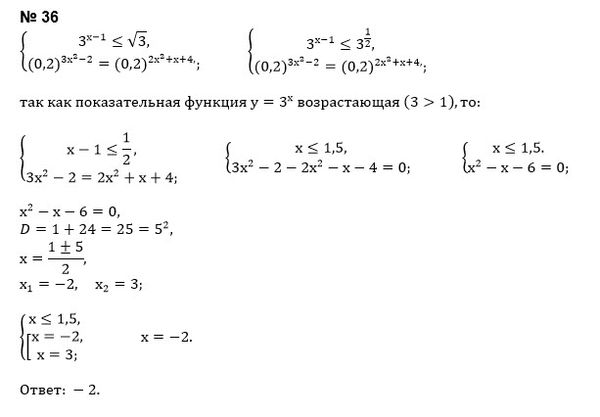
36.
Показательная функция с основанием 3 возрастает, поэтому большему значению функции соответствует большее значение аргумента
3^(x-1) ≤ 3^(0,5)
{x-1 ≤ 0,5 ⇒ x ≤ 1,5
{3x^2-2=2x^2+x+4 ⇒ x^2-x-6=0 ⇒ D =25; x=-2; x=3
3 не удовл неравенству x ≤ 1,5
О т в е т. [b]x=-2[/b]
