Задать свой вопрос
*более 50 000 пользователей получили ответ на «Решим всё»
Задача 49059
...
Условие
tkndsh123421
2020-05-01 10:54:22
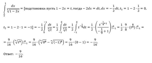
6) ∫(1/2 to 1) (dx / ∛(1 - 2x))
математика ВУЗ
560
Решение
u821511235
2020-05-01 23:33:54
★
Написать комментарий
Меню
Решим всё
Найти задачу
Категории
Статьи
Тесты
Архив задач
Присоединяйся в ВК