а) Может ли в такой прогрессии быть 10 членов?
б) Докажите, что число её членов меньше 100.
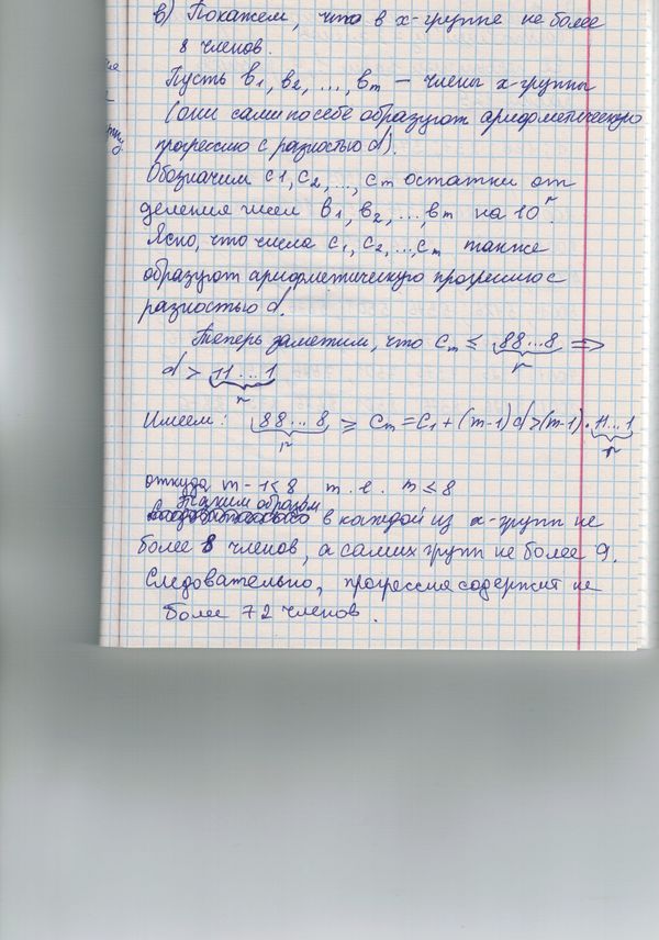
в) Докажите, что число членов всякой такой прогрессии не больше 72.
г) Приведите пример такой прогрессии с 72 членами.
Можно считать, что разность d прогрессии положительна и не кратна 10. Пусть d – k-значное число.
а) Числа от A890...0 до A9...9 (k + 2 девятки) все содержат девятки. Их больше d. Расстояние между двумя последовательными группами таких чисел равно 89·10k ≤ 89d. Следовательно, членов последовательности не больше 90.
в) При переходе от какого-либо члена последовательности к следующему, то есть при прибавлении числа d, (k+1)-й разряд либо не изменяется, либо увеличивается на 1 (цифра 9 запрещена, поэтому случай изменения разряда с цифры 9 на 0 исключается). Если в прогрессии нет переходов со сменой (k+1)-го разряда, то членов прогрессии не больше 9. Пусть такие переходы есть. Так как цифра 9 запрещена, то их не больше 8. Между двумя такими переходами, а также перед первым и после последнего идут группы (может быть, пустые) переходов без смены (k+1)-го разряда. Всего таких групп – 9.
Рассмотрим член прогрессии, стоящий перед переходом, меняющим (k+1)-й разряд. Так как он не содержит 9, то его k-значный "хвост" (остаток от деления на 10k) не больше . Но при прибавлении d должен произойти перенос. Следовательно, d > .
Рассмотрим такую группу членов нашей прогрессии am, am+1, ..., am+L, что (k+1)-й разряд не меняется. Тогда k-значные хвосты сами образуют арифметическую прогрессию с той же разностью: bm, bm+1, ..., bm+L. Но bm ≥ 0, bm+L = bm + dL ≤ , отсюда L ≤ 7.
Итак, всего членов прогрессии не больше чем 7·9 + 8 + 1 = 72.
б) Пример нужной прогрессии даёт прогрессия с первым членом 1 и разностью 125. Ее 72-й член равен 8876.


