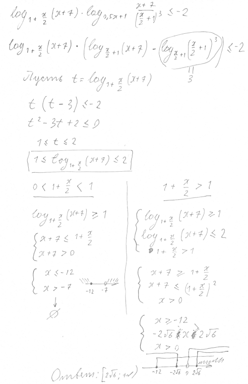
Решите неравенство log(1 + x/2)(x+7)*log(0,5x + 1)((x+7)/(x/2 + 1)^3) меньше или равно -2
Делаем замену и решаем через t, и так как это неравенство по переменному основанию рассматриваем два случае Ответ: [2sqrt(6); бесконечность)
Почему после обратной замены знак меняется? основание же 1+x/2 явно больше единицы
Еще может быть равно 1, если x = 0. Вы правы, но все равно рассписал все возможные варианты
запутался немного с этими знаками конечно
Больше тренеруйтесь решать подобные задачи
Почему в первом случае не решаете при < =2
x=0