Задать свой вопрос   *более 50 000 пользователей получили ответ на «Решим всё»

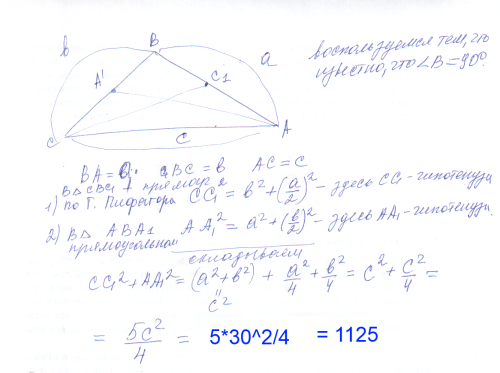
Задача 4899 Медианы AA1, BB1 и CC1 треугольника ABC...

Условие

Медианы AA1, BB1 и CC1 треугольника ABC пересекаются в точке M. Известно, что АС = ЗMB.

а) Докажите, что треугольник АВС прямоугольный.

б) Найдите сумму квадратов медиан АА1 и СС1, если известно, что АС = 30.

математика 10-11 класс 48669

Решение

a)
Точка М делит каждую медиану на два отрезка в отношении 2:1, тогда BM : MB1 = 2 : 1 , тогда MB = 2/3 BB1 <=> BB1 = 3/2 MB.

В прямоугольном треугольнике медиана из прямого угла В на гипотенузу равна радиусу и равна половине гипотенузы, т.е. AC = 2*BB1 = 2* 3/2 MB = 3МВ, ч.т.д.
б)


Ответ: 1125

Написать комментарий

Меню

Присоединяйся в ВК