Задать свой вопрос
*более 50 000 пользователей получили ответ на «Решим всё»
Задача 48872
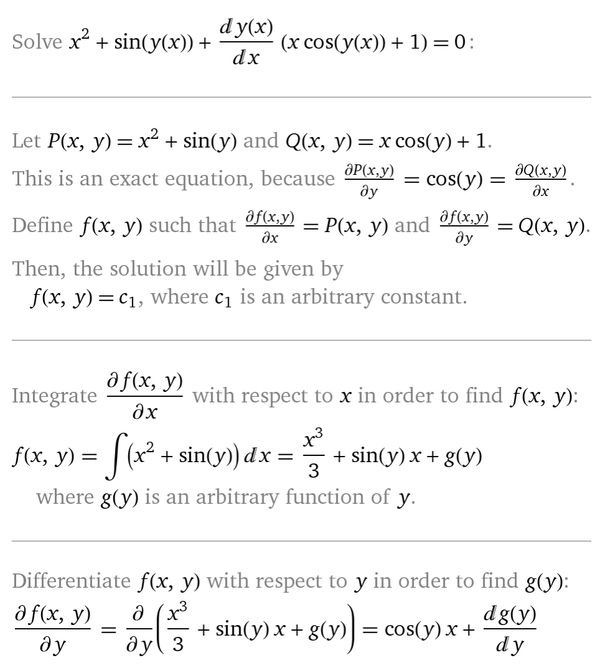
Решить уравнение:582 (x^2+sin y) dx+(1+x...
Условие
vk241636471
2020-04-29 14:55:13
Решить уравнение:582
(x^2+sin y) dx+(1+x cos y) dy=0
математика ВУЗ
1119
Решение
slava191
2020-04-29 17:34:37
★
Написать комментарий
Меню
Решим всё
Найти задачу
Категории
Статьи
Тесты
Архив задач
Присоединяйся в ВК